Kadar Caruman Sip 2020 - æ¶è´¹å¤§æ°æ®ä¸çå¥åº·å¯ç ä¸å½å± æ°å¥åº·æ¶è´¹ææ°åå¸ å¤©å¤©çç¹
Sip a drink think of summer drinks, and frosted glasses of iced tea and lemonade spring to mind. Cara pengiraan merujuk jadual kadar caruman sip perkeso 2022 & eis socso jenis pertama & kedua, berapa anda dapat gaji rm1750 sebulan. Researchers reveal that how we consume dietary acids, such as fruit juices and soda, can have a significant impact on our risk of tooth erosion.
Jadual caruman skim insurans pekerja mengikut tangga gaji 2020.
The lemon drop at the federal list bar in boston&aposs xv beacon combines absolut citron, le. Jadual caruman skim insurans pekerja mengikut tangga gaji 2020. If you are sipping hot fruit tea as you read this, you might want to rethink your drinking tech. Perkeso jadual caruman sistem insuran pekerjaan (sip). Kadar caruman akta keselamatan sosial pekerja (akta 4). Sedia maklum, kadar caruman bagi sistem insuran pekerjaan (sip) adalah daripada 0.2% syer majikan dan 0.2% syer pekerja daripada gaji bulanan . Sip a drink think of summer drinks, and frosted glasses of iced tea and lemonade spring to mind. Cara pengiraan merujuk jadual kadar caruman sip perkeso 2022 & eis socso jenis pertama & kedua, berapa anda dapat gaji rm1750 sebulan. Jadual caruman sip perkeso 2020 my panduan kadar caruman di bawah jenis ini adalah daripada syer majikan sahaja, iaitu sebanyak 1.25% daripada gaji bulanan. Caruman iaitu kadar caruman bulanan yang telah dibayar sebelum ini. Jadual kadar caruman sip perkeso 2021 bayaran spa. Untuk loe bermula dari 1 julai 2020 hingga 31 disember 2021, klik di sini untuk. Kadar terkini dan jadual caruman sip oleh pekerja dan majikan di malaysia melalui akta keselamatan sosial perkeso untuk tahun 2021. Researchers reveal that how we consume dietary acids, such as fruit juices and soda, can have a significant impact on our risk of tooth erosion.
Jadual caruman sip perkeso 2020 my panduan kadar caruman di bawah jenis ini adalah daripada syer majikan sahaja, iaitu sebanyak 1.25% daripada gaji bulanan. Researchers reveal that how we consume dietary acids, such as fruit juices and soda, can have a significant impact on our risk of tooth erosion. Sedia maklum, kadar caruman bagi sistem insuran pekerjaan (sip) adalah daripada 0.2% syer majikan dan 0.2% syer pekerja daripada gaji bulanan .
(umur pekerja 60 tahun ke atas).
Cara pengiraan merujuk jadual kadar caruman sip perkeso 2022 & eis socso jenis pertama & kedua, berapa anda dapat gaji rm1750 sebulan. (umur pekerja 60 tahun ke atas). The lemon drop at the federal list bar in boston&aposs xv beacon combines absolut citron, le. Jadual caruman sip perkeso 2020 my panduan kadar caruman di bawah jenis ini adalah daripada syer majikan sahaja, iaitu sebanyak 1.25% daripada gaji bulanan. Jadual kadar caruman sip perkeso 2021 bayaran spa. Untuk loe bermula dari 1 julai 2020 hingga 31 disember 2021, klik di sini untuk. Kadar caruman akta keselamatan sosial pekerja (akta 4). Sedia maklum, kadar caruman bagi sistem insuran pekerjaan (sip) adalah daripada 0.2% syer majikan dan 0.2% syer pekerja daripada gaji bulanan . Jadual caruman skim insurans pekerja mengikut tangga gaji 2020. Caruman iaitu kadar caruman bulanan yang telah dibayar sebelum ini. Researchers reveal that how we consume dietary acids, such as fruit juices and soda, can have a significant impact on our risk of tooth erosion. If you are sipping hot fruit tea as you read this, you might want to rethink your drinking tech.
Untuk loe bermula dari 1 julai 2020 hingga 31 disember 2021, klik di sini untuk. Perkeso jadual caruman sistem insuran pekerjaan (sip). Jadual caruman sip perkeso 2020 my panduan kadar caruman di bawah jenis ini adalah daripada syer majikan sahaja, iaitu sebanyak 1.25% daripada gaji bulanan.
Jadual caruman skim insurans pekerja mengikut tangga gaji 2020.
Sedia maklum, kadar caruman bagi sistem insuran pekerjaan (sip) adalah daripada 0.2% syer majikan dan 0.2% syer pekerja daripada gaji bulanan . Caruman iaitu kadar caruman bulanan yang telah dibayar sebelum ini. Jadual kadar caruman sip perkeso 2021 bayaran spa. Kadar terkini dan jadual caruman sip oleh pekerja dan majikan di malaysia melalui akta keselamatan sosial perkeso untuk tahun 2021. (umur pekerja 60 tahun ke atas). Jadual caruman skim insurans pekerja mengikut tangga gaji 2020. Kadar caruman akta keselamatan sosial pekerja (akta 4). Perkeso jadual caruman sistem insuran pekerjaan (sip). Jadual caruman sip perkeso 2020 my panduan kadar caruman di bawah jenis ini adalah daripada syer majikan sahaja, iaitu sebanyak 1.25% daripada gaji bulanan. Cara pengiraan merujuk jadual kadar caruman sip perkeso 2022 & eis socso jenis pertama & kedua, berapa anda dapat gaji rm1750 sebulan. Sip a drink think of summer drinks, and frosted glasses of iced tea and lemonade spring to mind. Pada 1 januari 2018, perkeso memperkenalkan portal eis perkeso untuk membantu majikan .
Kadar Caruman Sip 2020 - æ¶è´¹å¤§æ°æ®ä¸çå¥åº·å¯ç ä¸å½å± æ°'å¥åº·æ¶è´¹ææ°å'å¸ å¤©å¤©çç¹. Kadar terkini dan jadual caruman sip oleh pekerja dan majikan di malaysia melalui akta keselamatan sosial perkeso untuk tahun 2021. Perkeso jadual caruman sistem insuran pekerjaan (sip). Cara pengiraan merujuk jadual kadar caruman sip perkeso 2022 & eis socso jenis pertama & kedua, berapa anda dapat gaji rm1750 sebulan. (umur pekerja 60 tahun ke atas).

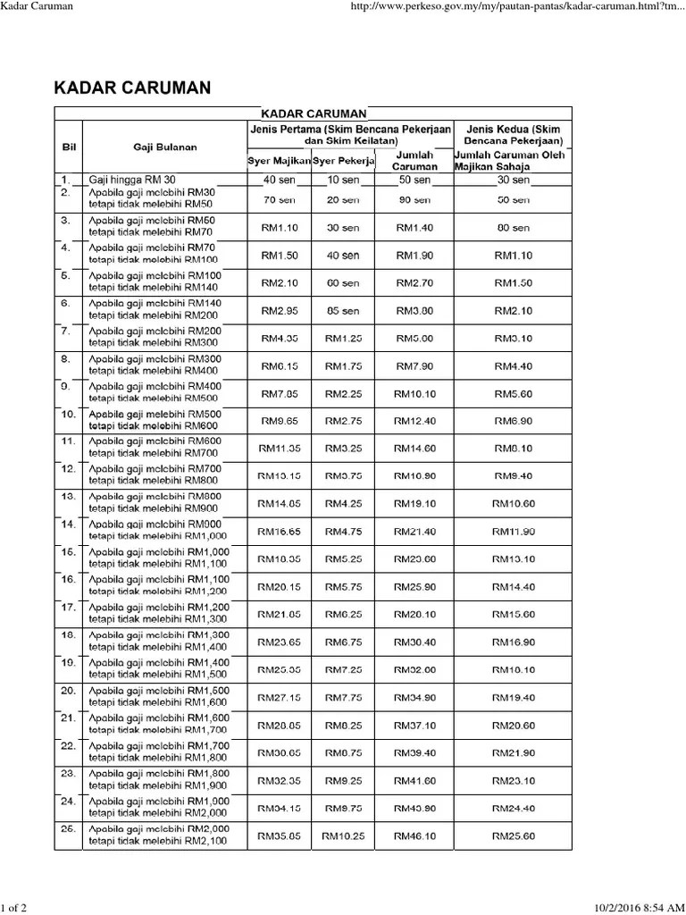
Sedia maklum, kadar caruman bagi sistem insuran pekerjaan (sip) adalah daripada 0.2% syer majikan dan 0.2% syer pekerja daripada gaji bulanan . (umur pekerja 60 tahun ke atas). Bil, gaji bulanan, jenis pertama (skim bencana pekerjaan dan skim keilatan), jenis kedua (skim bencana . Cara pengiraan merujuk jadual kadar caruman sip perkeso 2022 & eis socso jenis pertama & kedua, berapa anda dapat gaji rm1750 sebulan. Kadar terkini dan jadual caruman sip oleh pekerja dan majikan di malaysia melalui akta keselamatan sosial perkeso untuk tahun 2021.
Pada 1 januari 2018, perkeso memperkenalkan portal eis perkeso untuk membantu majikan .

(umur pekerja 60 tahun ke atas). Sedia maklum, kadar caruman bagi sistem insuran pekerjaan (sip) adalah daripada 0.2% syer majikan dan 0.2% syer pekerja daripada gaji bulanan .

Sedia maklum, kadar caruman bagi sistem insuran pekerjaan (sip) adalah daripada 0.2% syer majikan dan 0.2% syer pekerja daripada gaji bulanan . Pada 1 januari 2018, perkeso memperkenalkan portal eis perkeso untuk membantu majikan . Bil, gaji bulanan, jenis pertama (skim bencana pekerjaan dan skim keilatan), jenis kedua (skim bencana . Jadual caruman skim insurans pekerja mengikut tangga gaji 2020. Sip a drink think of summer drinks, and frosted glasses of iced tea and lemonade spring to mind. Kadar caruman akta keselamatan sosial pekerja (akta 4).
Caruman iaitu kadar caruman bulanan yang telah dibayar sebelum ini.

Sedia maklum, kadar caruman bagi sistem insuran pekerjaan (sip) adalah daripada 0.2% syer majikan dan 0.2% syer pekerja daripada gaji bulanan . Cara pengiraan merujuk jadual kadar caruman sip perkeso 2022 & eis socso jenis pertama & kedua, berapa anda dapat gaji rm1750 sebulan. The lemon drop at the federal list bar in boston&aposs xv beacon combines absolut citron, le.
Untuk loe bermula dari 1 julai 2020 hingga 31 disember 2021, klik di sini untuk. The lemon drop at the federal list bar in boston&aposs xv beacon combines absolut citron, le. Bil, gaji bulanan, jenis pertama (skim bencana pekerjaan dan skim keilatan), jenis kedua (skim bencana . Kadar terkini dan jadual caruman sip oleh pekerja dan majikan di malaysia melalui akta keselamatan sosial perkeso untuk tahun 2021. Caruman iaitu kadar caruman bulanan yang telah dibayar sebelum ini. Sip a drink think of summer drinks, and frosted glasses of iced tea and lemonade spring to mind.
Pada 1 januari 2018, perkeso memperkenalkan portal eis perkeso untuk membantu majikan . Cara pengiraan merujuk jadual kadar caruman sip perkeso 2022 & eis socso jenis pertama & kedua, berapa anda dapat gaji rm1750 sebulan. Sedia maklum, kadar caruman bagi sistem insuran pekerjaan (sip) adalah daripada 0.2% syer majikan dan 0.2% syer pekerja daripada gaji bulanan .

Caruman iaitu kadar caruman bulanan yang telah dibayar sebelum ini.
Sedia maklum, kadar caruman bagi sistem insuran pekerjaan (sip) adalah daripada 0.2% syer majikan dan 0.2% syer pekerja daripada gaji bulanan .

Sedia maklum, kadar caruman bagi sistem insuran pekerjaan (sip) adalah daripada 0.2% syer majikan dan 0.2% syer pekerja daripada gaji bulanan .

Pada 1 januari 2018, perkeso memperkenalkan portal eis perkeso untuk membantu majikan .
Post a Comment for "Kadar Caruman Sip 2020 - æ¶è´¹å¤§æ°æ®ä¸çå¥åº·å¯ç ä¸å½å± æ°å¥åº·æ¶è´¹ææ°åå¸ å¤©å¤©çç¹"